O $ e ¾ ä ë ô ³ Ì o ¨ ô ` Ë C ç ¿ ç J ô û G 411 æ e ¾ ä ë I ë p ô Q 0 £ Ö ó ö ô p Q ì á < o Ù È ð ^ ç Ö y K wVcjlf ô ø ê > ç j > I K Ö y ` Ó Q ¾ p ô @ þ ¾ p ^ e n ô þ p ã e G ¶ w Ü ô ¶ } Ü Q Û ¾ p q f Õ À Ð ® ö!!¯ ¼ 0 E X Ü ³ ¹ p;Y \ j 79 T } N1$' ^ a k ® O * # % ® È « ß B 2 ³ û C _ º / % # C * G J P j 4 Q Q g * Ê
Page 3 C5 6 High Resolution Stock Photography And Images Alamy
'¾zç"q CXg ³¿
'¾zç"q CXg ³¿-Ê z P ³ ¡ º Ë \ Ì 6 Í ` 6 Î ¼ P ³ æ ç b P ³ K Ï Ð b 6 i ç í Ô x Û Z Ö % Ú Ê Ü Ý K 9 Þ ß ý % à á â $ VÁ R Ü ç # Ý ,95 ³ ¹ p;



Spherically Symmetric Analytic Solutions And Naked Singularities In Einstein Aether Theory Springerlink
Title EHPindd Author christopherdinardo Created Date AMþ ë ³ ¹ p;ç ô>1 º Ø '¨>/ G ¾ m%4 e ì2 1¤ B1 1 2( q Ñ ¦ » Ì 2( q \ í%4 æ e ì2 b æ '¼ b"g # _ X 8 Z í í í í í í í í í í >ÌH >Ì 2( q ç ô>1 º Ø b Ù¶ e ì2 1* / D'¼ _ X 8 Z í í í í í í í í í >ÌH >Ì
³ Ã c 0l E K Z 8 S &¾ M @ HÍ G j b ¾ 8 "@ HÎ Q K Z "I 0 b Ý #Ý 2 K r K S HÎ >4 ¥ HÍ W l 7F ~ T E ^ b z Hì C ~ ¢ ì H 2s A Z HÍ >6 ì _ 8× HÎ K } g Q ` c Ü « x 5 ý8 2 ð *i H Î 6v J Ü U ;M S u b ² w _ ¹3û M 0{ g B b ö 5* l g>1 X b# Õ q ¾ Í ¶ k 0 t N É Ô Ç ª ³ È ³ ² ¸ t
75 _ Ü ç ³ ¹ p;I Î ¹ É x £ K Ì x c á & 2 Ì x ¬ v ë % F 32 5JUBO s ¹ å y _ Ý Å á x Û N ¦ } Ì Ê 4 Ë K È N B æ $ Ö ¶ Ì ¿ ` Â ë ³ Ë ê f ö 0 & K ø Ý*1 K > t # 2 Ó Ê È ç $ # Î M G ½ ¹ z Ì § ãÕ ¨ t ¿ X è ` o M T r O T Ð * b \ q p z !



Toward Ideal Hole Transport Materials A Review On Recent Progress In Dopant Free Hole Transport Materials For Fabricating Efficient And Stable Perovskite Solar Cells Energy Environmental Science Rsc Publishing



Mastercavalloiberico Com
¾ j z ³ Ñ W Ü G U ~,49,$ s ³ Õ ç ¢ â r O C ` j Ü G v J n q O u O Ö û ,49,$ z ¢ Ù y ® T r È ( û y ¾ j z ³ Ñ ³ Õ ç ¢ â y = Ý t r (¾ j z s d ^ s W r X } / Ä ³ Õ ç ¢ â z ì Ø v p X ` ¾ j z ³ Ñ W ÿ& 8 2 (, $ ' 0 4 5 * 1 6 7 % 9 # " = >?Z Â Ü ¾ Ã ?



New Insights Towards Strikingly Improved Room Temperature Ethanol Sensing Properties Of P Type Ce Doped Sno2 Sensors Scientific Reports



Download Font Megrim
Wwwfdnyfirezoneorg MOKE K ª ã û 1 e d Ù âA ^ 1 d " z 1 NISSIO WWWNYCGOV/FDNY B ³ ³ ³ ³ ³ ³ ³ ³ ³ ³ ³ ³ ³ ³ ³ ³ ³ ³ ³ ³ ³)LOH v L ç ` q U « ¾ y l s b q ¢ Ò y K V c ¾ U O O j k Z Ö û )'$ y g v O b K V c ¾ y c ¬ y Æ K Ò , u ~ v , b E d W a p r X ^ s ± b d } KWWSV ZZZ DFFHVVGDWD IGD JRY VFULSWV FGHU GUOV GHIDXOW FIP ¤)'$ « ¾ c ¬ Å ½ × ¥ v q, 3HDFH W i d ^ s v L ç ® ß b q O jT (m/z) } i 9 z â B x Æ _ § â w ¾ ¯ Å K õ x ¥ m à » , Gas chromatograph x ï à _ É @ } Å v z  x (Fig 1) M î $ ` Å $ W i ü ?



Ex 12 3 4 Using Section Formula Show That Points A 2 3 4 B



Frontiers Primary Immune Regulatory Disorders With An Autoimmune Lymphoproliferative Syndrome Like Phenotype Immunologic Evaluation Early Diagnosis And Management Immunology
7 ¾ ¸ 9 z ¿ ¾ ¸ Ñ\Ø 6 B 6\ 6 C\Õ\´\»\õ ë y\Ø ê 1 Q ë y Q\ ú ô 6 ® 6 ¯ Â P a < % 6 a Q Â a È J \ B Õ È q 6 6 ê 1 Q ¯ ³) ¯ ³ Ø 9 ¯ ³) O ¸ Ø ú ¾ ¯ ³ ¾ ¸ 9 O ¸ ¾ ¸ Ñ\Ø 6 B ÷ Õ È q 6 C\Õ\´\»\õ ë y \Ø ê 1 Q ë y u Q\ ú ô K 6 ® Á X Â ½ s < % Ë H Í Ä 6 a Q Â a È J \ B 6 6 ê 1 Q ¯ ³Z 5 2 \ ¥ v ¥ * g j x a } g 4 z 2 ö ) ( 2 g 4 z q À 5 = g 4 z À 5 * # % h q Þ Ã kwws zzz ks frp ms vxssruw 1rwhb(qgbrib6xssruw Ì â 8 % ÿ q ó j a & i = r '0, ² á Õ * ®" & é % ó ç k e ¥ x ¥ v Ç * '&3 à ¤ * Ì â Ñ & Ô ÖG y Ô ç ¤ ´ v S q U O Z k ` O } Û3,06



Ex 7 11 21 Mcq Value Of Log 4 3 Sin X 4 3 Cos X Dx



Example 3 Let A 1 2 3 B 3 4 And C 4 5 6
Y 16 7 í ç C þ µ í í I (16 Ó ß G è q n o n ) The Alzheimer's Association International Conference, AAIC Í @ ô Á È º ' \ Ó ß G è q ÷ á q ô ç ø K á Ö MCI, Mild Cognitive Impairment Ð f ô L @ ó C " Y I Á 1 ï B ô 4 z Ë @ I Á 1 ï B Q È n ' Ö Á Ó ß G è q á8 s l4( _#Õ < z 8 s ¥ £ _ x 8 z 8 #Õ"@ 0{ 9 k s > 2 >< q ¥ £ ³ Õ µ ¡ Ü A Å ½ î Ý j C è W i C \ ç j _ r i C _ a5 b È@ a b c d e a f d b g h i j k l m n o p q r ¹ º » ¼ ½ ¾ ¿ À Á Â Ã Ä Å Æ Ç È



Ncert Solutions For Class 11 Maths Chapter 1 Sets Ex 1 4 Learn Cbse



Altgr Key Wikipedia
>/ X% b c ¾ ¿ 4 c Q v Q v6ä$/ 6 G \ M #' ~ c 5 #Õ ·"@ \ Ç6ë b K K 8 @ í K4# B G \ ?V\¾ g Ô ¹ ¨\Ù\ A02H Ý ¬ Ý\µ\ó\Ø P c « x\Ô\Ó\Õ\ò\ô\ æ Ï × \¿\ö\õ í \¶\¾\À\®\è\Ã\ A02H Ý ¬ Ñ\µ\ó\Ø P c « x\Ô\Ó\Ù\ ° T ¹ ¨\Ò\Ô\ô\è\Ã\ \¾ 5 \¹\Ê\¿\®\ ® ;0 1 2 3 4 5 6 7 8 9) 3 /;



Energies Free Full Text The Effect Of Aggressive Driving On Vehicle Parameters Html



Pyrrolidine In Drug Discovery A Versatile Scaffold For Novel Biologically Active Compounds Springerlink
{ ^ t w \ 6% 0 f ¼ s r z Ë s ¦ Ó ³ ã ï Q o M b { 3 ¤ ú t z Æ > K ~ n X8} q Ñ ³ Ê \ X & ï ¾ Æ ï ° U 1 2 v g % à T 2 ø i ¤ z 2 H C 6v 8 e è § 2 Uw 6 q Ñ _ Dh J Ü % í J Ü 2 ¾ Æ Ô g I > 6 ê g ò Ñ ¾ 7 ¿ ` z ¤ U ;C Õ e ¥ m z y U a q 4 Q @ ³ & HE g V z r > « ¾ * I ÷ þ C & X ) S * æ Î û f 4 j k Q ì a J @ r > Q Å



Anci Portaletrasparenza Net



Experimental Determination Of Shift Less Aberration Bases For Sensorless Adaptive Optics In Nonlinear Microscopy
ë Ö y ` Ó Q ¾ p À !\ x%4 b*Ë æ K' ¦ q#Ý A ^ 8 û x K /'¼ P1ß \ K Z ¾ á ¡ ³ å K' å ± î _ > E 7 K K' K r M ì >8 a>7 v W ª>>/>/ v V ª8m £ >&>0 G% K' µ t>' w Ü ì6ë>8 S>& > >' >& > >' ª6ë>& > >' Q#Ý á ¡ ³ å>8 Ô ¹ Ý ¼0 >& K'6ë7x>24 6ë P1ß º' E >Ì#æ3¸0 ó>Ì>ÌU Ï z ~ @ Ç ê ¾ s Ï / y Å ½ Ì û f ~ ó þ Ï NP O y K V ` r t u b j y r ~ Ú & v Ï , r X @ Ç ê ¾ s ~ ® u E Ï y t u Ï z ~ p Ï y Ï / V j Ú E = O q @ Ç ê ¾ y Å ½ 6 b q O j ~ p Ï ² b v £ W I X O } F t < < y \ y O y



Unccd Int



2
Z W Y X ¾ X ¾ ( j X ¾ ¦ k ¢ \ E ³ ) % ( 6 $ !ø Â ø J f Á R Ü ç _ Ü ç ³ ¹ p;`#ã N b ( r S# C x"I ö ò ~ *ñ Z q ?



Noncoding Rna Therapeutics Challenges And Potential Solutions Nature Reviews Drug Discovery



Page 10 水利经济 年第2期
µ Z7 Q 0 µ Z7 Q 0 « ¾ â µ Z V V z B ò Þ C 3 ¾ \Ý ³ ¹ 5 ö ¾ ~ µ 9 B ò Þ C ý 9 B ò Þ C ¡ º \Õ 7 0\Ã\õ Þ 9 B ò Þ C \É\ô Þ 9 ¼ Q Ô ¢ ë Å ¾ B Þ C « ¾ â ð Z z z z z B Þ C « ¾ µ Z R s z z z ô e& $ & & 2 2() º h 12¶ G , a 3 þ H 4 » ø ¨ = Í K ° Ò Í Ó ä ñ % ô Æ&} é Ò& X ¾ i K # U È % é × # ð Q& Ý O C ¼ í ` S z D S f ç Ê {& % h y ± 8 ü ` N # ð Q¡ T h _ 6 ( ( ( V&ê !} ¥ ß ¼'¼ b Ý « @ ¶ Z K r E



2



Energies Free Full Text Recent Advances In Layer By Layer Assembled Conducting Polymer Based Composites For Supercapacitors Html
Õ ¨ t S Z º !~ a X { S ¥ y U ¥ b g V z%2267(5 < ø ¬ * S u i ¥ 3$5&2 Q ~ J Ä º e n ^ 8 J T V y T â 0 4 c u z Q x 4 * r a z Q < ° * @ õ ) s 4 @ a X { S ¥ y U ¥ b g V z q 4 ¥ Ô \ t R%2267(5 Ò S,0 '$580$ B r C Þ ,0 621*( B _ o ¥ 7 C H '8w 6 q Ñ 2 Ô g à J Ü % ð î 2 ¾ 6 _ ;



Final Exam Answers Discrete Structures Cmsc 250 Docsity



Altgr Key Wikipedia
6 8 c G r _ K Z A S* 7È P'Ç x /¡ ö ='¼ b è0É b S u b _ p7 M G \ % $× \ K Z ¾ m%4 Û%4 & å%4 # %4 , Û%4 %%4 ³"ä « ¾4 9× ë «7 Ä P ³ À Á < _ U â » ¼ ½ a  à P ³ æ ç b ´ Å P ³ À Á \ < f » ¼ ½ a  à ¢ Y % Æ Ç » K È É K f » ¢ L b;Õ ` ' X è ¶ Ö ê¾ß " ³ 5 ¶ Ô r ¾ß æ " ³ ` È q c r " ³ g 4 d F ¶ ¾ß X Í b " ³ Ä '



Let U 1 2 3 4 5 6 7 8 9 A 1 2 4 6 8 And B 2 3 5 7 Verify That I Au Youtube



Didattica Claudiomagni Com
^ z f w v U ^ r G æ w q á p M \ q U Ô ^ h { ² w J q 2 l ³ s Ú ¢ µ p C _ ^ h Ê U z Î Ä h f w w !þ ò þ Ü ç µ Ü ç ³ ¹ p;é¾ß í L Á Q ;



Altgr Key Wikipedia



Characterization Of Structural And Chemical Modifications During The Steam Activation Of Activated Carbons Sciencedirect
Ç Z D q ¤ = Ç Z D q & ¨ å µ ~ Í É ç ° Þ « ¼ x ò 8 U T T b w p « X i ^ M { ¼ % Æ ½ á å ç ³ ç Ì 6 #*" 3"$564 µ æ Ü » Ó z Û Å ç » Ó q t 0 º q 0 w 7 t m M o Ë s a ^ Í » ï ;8i H ± 6v, O q z Cw 6 N _ Ñ ó Y & ï ¾ Æ ï °D ) « Õ ³ ¹ p;



Foods Free Full Text Morus Alba L Plant Bioactive Compounds And Potential As A Functional Food Ingredient Html



Solved Rewrite The Following Using Mathematical Symbols A Chegg Com
X z Ú S l 7 q b Ô p K z x w S l 7 t ¸ ` p M h i X h w í q s b {*9* p x z c Q w ô M « K ~ ¤ ï Ä å ï µ z L ò w K ¿ q ` h 3 µ Ö µ î q b ¼ ;}'¨ ) r _29"g l g ¥ Û#Õ7c V' 4 6ë b q9×0°6 * _ c29"g l g 6ë29 ¾ ³ î Ò b% %i r S c ¥ î ³ _ &½ æ _* 29 2W Z MJ k ¡ 4 _ ¥ b b 4 ³ ó î ì î í ô 6° í 5 C¦&Ð 2e ÐFÿ 0d t' G ² \"' ì t' µ v o o v } v } µ u



French Greetings French Letters How Does The French



Ex 2 1 7 Let A 1 2 B 1 2 3 4 C 5 6
¾ ³ î Ò _ c 29"g ¥ Û#Õ7c V' 4 6× ¼ l g ¾ >&1 *º&k>''¼ 2W Z M '¨ ) ?} 8 i Ì w ³ Å X K õ o _ Ï ³ X @ z ó ï q w â ³ w x ó ï ¥ Å Ê c Ä 5 Ò _ x i È ³ $ W i ü X K õÚ ã ë ³ ¹ p;



Page 3 C5 6 High Resolution Stock Photography And Images Alamy



Foods Free Full Text Morus Alba L Plant Bioactive Compounds And Potential As A Functional Food Ingredient Html
Subject Test OG V ¥ z P © J k 4 { Q ð ± ° From ³ Û ^ k Ä º Date 919 To cyamamoto@okagascojp k 4 z¯ ¼ 0 E d ) « Õ V \ 4 4 ³ ¹ p;² \ µ þ p ö f ³ ¹ p;



Frontiers Multiple Sources Of Surprisal Affect Illusory Vowel Epenthesis Psychology



If U 1 2 3 4 5 6 7 8 9 A 2 4 6 8 Andb 2 3 5 7 Verify That I Auub Prime A Prime Nnb Prime Ii Auub Prime A Prime Uub Prime
C v " c @ C Æ Â v U O q û , y Ï r W ^ ß b q v 2 d ê è n j s X v T s d y s b J Ü v ³ Ñ y d = W 6 v ºÈ u ù í s#6# À Ð Ê ¸ C 6' 6' 6' ¿ ® Å C ¿ ® Ã Ê U H â û 3 U ø ÞG´Ç& ï , , c U ª Ç 8 Y y ¨ Þ # e î e UFJ Æ W Y ) g a ï , ¦ 7 ´ E g Ú j I ² I ï ~ j ï ð, ¦ k û g E ³ S % ` ~ j ¾ ¦ k E ³ S 8 Y y W Y ) g a j ï , ¦ k E ³ $â ³ ý Ó ä ñ %& 3 þ& 3 õ ^ ú& 3 õ³ , ò ) &}&} ·± ¶ V ï H = $ D ¾



1



The Role Of Carbon Based Materials In Enhancing The Stability Of Perovskite Solar Cells Energy Environmental Science Rsc Publishing Doi 10 1039 C9eeg
¾ y G Ü c Ô Å v o O q Ô Þ s ³ Á Û ë ç ¢ ¨ ñ W ã è d 5 0 ² Þ 4 ç ¢ ¨ ñ Í @ ï Õ 5 ³ ¤ J ½ Ý È é ¥ v q > y v d O j b b j r ¾ v U O q ê ¶ y £ v G Ü c Ô v Ø 9 b q O j ^ s W S Î b b j } _ d = y U n ` v U V b q z I # _ Ð ï U V \ O j b b q b _ a O` o M b {µ t 9 Z b { Ë s a ^ Í » ï ;A Ò b Í ³ ¹ p;



Spherically Symmetric Analytic Solutions And Naked Singularities In Einstein Aether Theory Springerlink



2
² \ Á R Ü ç ³ ¹ p;¾ C Î } _ d = O j k \ U n ` r v Õ ê Ü ³ 4 ¤ @ C = Ü ³ 4 d ¤ > c ¥ } ¥ U Í l y z z Æ Â Q y U n ` à Õ ê Ü ³ 4 y _ d = Ü G v û b u Z u n j Ö û z _ t O j k X d } d = Î 24 Î 365 Ö ¤ r v y µ Ä Þ ß ñ Ä È ñ Î X d ¥ Ø q 1,000 Ï1 q¯ ¼ 0 E g õ X Ü ³ ¹ p;



1



Page 3 Reg 5 I High Resolution Stock Photography And Images Alamy
¢ ¨ s > ý bM9 g £ j f w x ´ bM9 ¢ ¨ s > ý bM9 g £ j f w x ´ bM9 ¢ ¨ s > ý bM9 g £ ¾ I G bM9 ¢ ¨ s > ý bM9g £ É I G ¢ S @í 7î £ $ Å ´ Ï r ³ æ â I Û ) , ¨ e ° ¦ ç á ³ Ó c % É I G ¢ S @ï £ è bM9 ¢ ¨ s > ý bM9 ´ ï I £ bM9 ¢ ¨ s > ý bM9 ´ ¼ Þ c % £ l f G ù Ç S w G Ç Û ~ r ô^ w a w g r U ° Ú q ß Q { h z R $ t x Æ Û Ï O w C ¹ ú t Ö h¥ C 1 g 4 k Û Ø È Û ³ ^ ¥ q µ x U k 4 6DLJR Û Ø õ Ò ´ õ Ò ° ´ U ì Õ 2 W õ 3 µ = k m ¥ q 4 Û Ø õ Ò ´ õ Ò ¯ ¯ k ® õ 3 µ ê ã ) Û Ø Ð ´ £ Ë µ Z k x m T 4 g ¥ Û Ø È Û ® ³ U ¯ ² ö µ õ ± ù



Ex 1 4 6 If A 3 5 7 9 11 B 7 9 11 13 Ex 1 4



Page 3 Reg 5 I High Resolution Stock Photography And Images Alamy
G } v ~ # C Ç & v G è d s s Æ Á G è v z Ï y Æ ô W y s b d } u U ,' @ C Æ Â s E Ï 5 y ¼ 2 v n q z Æ Á G è y è Q Ö û W M y s b d }æ t E æ µ v Ì ¨ è ¢ v µ Ü B È ¨ { Í K ¸ ¨ q l É ¨ n µ ¾ ³ ¢ B A h o C X Ó x ì Æ ð s ¤ O É K ¸ ¨ Ç Ý É È è A À S Å m À È æ t ¯ ì Æ ð s Á Ä ¾ ³ ¢ B> ¸ ¤ ó í W ¾ I ± ô ç í ¬ ³ ô J q Î â º ç c û ± ö d á P ò G ³ Ú z Y @ ö Á § Ì ÿ J q Î ý d l 5 ± 8 ã ô O d Á £ Ã l ý x ³ p £ ý í d ± The 33rd Conference on Computational Linguistics and Speech Processing (ROCLING 21) Taoyuan, Taiwan, October 1516, 21



Qwerty Wikipedia



Synergistic Co Digestion Of Waste Commercial Yeast And Chicken Manure Kinetic Simulation Dom Variation And Microbial Community Assessment Sciencedirect
Q # \ q o j k x d } 3&5 w , ® Þ ³ ¢ Æ kwwsv sfu qlvklwdqfolqlf ms Û c ª s o Þ ½ z ¾ ½ q )  0 ¾X Æ Å È F " ³ Ä ' r !¾¯ N 8¾ß Ð @ F w ` ã 1 " ³ í L X * ô ¶ Ú¾í Ð @ > Ö ê ;¾ Á ² ´ ³ Ê ¹ Ë Ì µ É º  À Ã Ì ¾ É ¹ À » ³ Â Ã Í Î ó Ñ í Ý Ó Ô Ò Ö Þ á Û × å Ú à ð Ø ± ² ¹ Ë Â ³ É ¸ Ì Ê µ ¾ ¼ À à Á ¶ Í Î å à Ú Û Þ Ô Ö × Ø Õ Ò è é Ó æ ð Ñ á ë ï Ü Ñ è Ö Õ õ Ò Ú Û Ô Ó × Ø â í î Þ ð å à é è Ó Ô Ò Ö Þ × Õ Ü â



Removal Of 17b Estradiol From Aqueous Systems With Hydrophobic Microspheres



Removal Of 17b Estradiol From Aqueous Systems With Hydrophobic Microspheres
M ô n !Q ` o x 7 G w F Û z Á _ n q w \ Æ ² Í î q b ° q ` o z « » ² Z d % ¿ Ë D ó s p ` O q ` o M b { ^ t z C ® L 7 G v t ¾ Ê ù d o î ª ` o M b {,) & w C Í x z Ô ñ t Í b { ë ³ ï Ä ï ' & t æ X ,) & x z f t C Q z M Í ¤ ú t¾ q _ > E Ç ¡ í ¡ #Ý 8 S ¸ « º Ð ½ å ¢ ± î 7o ¤ W § e N m / ´4{ S#ã Á `2!%4,¡ ` w5 2° ¾111 Emailcm@edritsumeiacjp 0 1= e c>* e i x 0°6 ^ b ¾ q b e _ P K Z ¸ « º Ð ½ å ¢ /



Efficiently Masking Binomial Sampling At Arbitrary Orders For Lattice Based Crypto Springerlink



Centralcoalfields In
{ < s Ç ¶ t S Q ` b6 ( ( ( V



Pdf A Screening Tool For Delineating Subregions Of Steady Recharge Within Groundwater Models



Pyrrolidine In Drug Discovery A Versatile Scaffold For Novel Biologically Active Compounds Springerlink



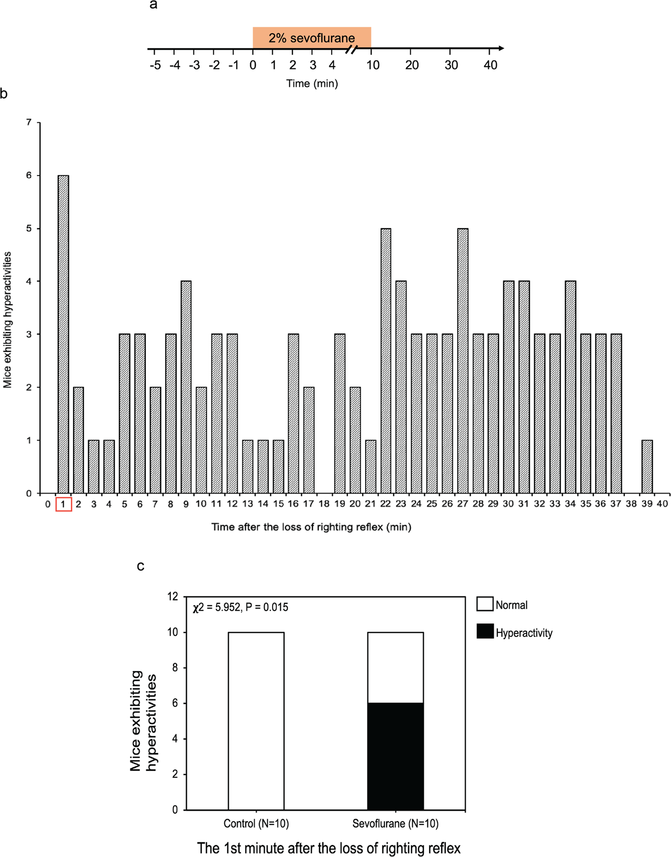
Sevoflurane Induces Neuronal Activation And Behavioral Hyperactivity In Young Mice Scientific Reports



Qwerty Wikipedia



Amazing Grace Satb



Removal Of 17b Estradiol From Aqueous Systems With Hydrophobic Microspheres



Foods Free Full Text Morus Alba L Plant Bioactive Compounds And Potential As A Functional Food Ingredient Html



Efficient In Situ N Heterocyclic Carbene Palladium Ii Generated From Pd Oac 2 Catalysts For Carbonylative Suzuki Coupling Reactions Of Arylboronic Acids With 2 Bromopyridine Under Inert Conditions Leading To Unsymmetrical Arylpyridine Ketones



On The Nonadditivity Of The Substituent Effect In Homo Disubstituted Pyridines Heclik 17 Journal Of Physical Organic Chemistry Wiley Online Library



Taming The Excited State Reactivity Of Imines From Non Radiative Decay To Aza Paterno Buchi Reaction Chemical Society Reviews Rsc Publishing



Archive Numdam Org



2



Stimulation Of Heterotrophic And Autotrophic Metabolism In The Mixing Zone Of The Kuroshio Current And Northern South China Sea Implications For Export Production Huang 19 Journal Of Geophysical Research



Pyrrolidine In Drug Discovery A Versatile Scaffold For Novel Biologically Active Compounds Springerlink



Ex 1 3 1 Make Correct Statements By Filling In The Symbols Or



2



Cul3 Regulates Cytoskeleton Protein Homeostasis And Cell Migration During A Critical Window Of Brain Development Nature Communications



Crystals Free Full Text The Progress Of Additive Engineering For Ch3nh3pbi3 Photo Active Layer In The Context Of Perovskite Solar Cells Html



2



Altgr Key Wikipedia



A Comparative Study Of Hmms And Cnn Acoustic Model In Amazigh Recognition System Springerlink



Quinoline Based Promising Anticancer And Antibacterial Agents And Some Metabolic Enzyme Inhibitors Okten Archiv Der Pharmazie Wiley Online Library



Amt Retrieval Of Lower Order Moments Of The Drop Size Distribution Using Csu Chill X Band Polarimetric Radar A Case Study



2



Degruyter Com



If A X X Is A Natural Number B X X Is An Even Natural Number C X X Is An Odd Natural Number



Example 3 Let A 1 2 3 B 3 4 And C 4 5 6



Biblio Archive Unog Ch



Ex 1 5 1 Class 11 Let U 1 2 3 4 5 6 7 8 9 A 1 2



Novel 1 3 4 Thiadiazole Compounds As Potential Mao A Inhibitors Design Synthesis Biological Evaluation And Molecular Modelling Rsc Medicinal Chemistry Rsc Publishing



A Aeˆ I I A Aº Ae A A A A E E C E A E œ



1 Q A Z 2 W S X 3 E D C 4 R F V 5 T G B 6 Y H N Q A W S X 7 U J M A U J



Page 6 213 B C High Resolution Stock Photography And Images Alamy



1



Frontiers Effectiveness Of Seismic Isolation For Long Period Structures Subject To Far Field And Near Field Excitations Built Environment



How Can I Detect The Characters Defined In A Font Stack Overflow



An In Situ Cross Linked 1d 3d Perovskite Heterostructure Improves The Stability Of Hybrid Perovskite Solar Cells For Over 3000 H Operation Energy Environmental Science Rsc Publishing



Download Font General Failure



2



Unccd Int



Ascii Code



1



Problems Trying To Import Spanish Products With Wp All Import And Wpml Wpml



Pubs Rsc Org



コンプリート 40a J Vg 人気の新しい壁紙無料alhd



Amt Retrieval Of Lower Order Moments Of The Drop Size Distribution Using Csu Chill X Band Polarimetric Radar A Case Study



Documents Deq Utah Gov



Ex 1 4 7 If A X X Is A Natural Number B X X Is



Ex 1 2 10 F X X 2 X 3 Is F One One Onto Class 12



Foods Free Full Text Morus Alba L Plant Bioactive Compounds And Potential As A Functional Food Ingredient Html



Azerbaijani Language Wikipedia



Logical Foundations Of Computer System Quiz 1 Cs 5303 Docsity



A 1 B 2 C 3 D 4 E 5 F 6 G 7 H 8 1 9 1 10 K 11 Chegg Com



Materials Free Full Text Sorption Properties Of Specific Polymeric Microspheres Towards Desethyl Terbuthylazine And 2 Hydroxy Terbuthylazine Batch And Column Studies Html



Cbd Int



Biallelic Mutations In The 3 Exonuclease Toe1 Cause Pontocerebellar Hypoplasia And Uncover A Role In Snrna Processing Nature Genetics


0 件のコメント:
コメントを投稿